Типы данных
| Наименование | Описание |
|---|---|
ID | Строка, длиной 24 символа представляющая собой уникальный идентификатор объекта в системе |
Timestamp | Положительное, целое число состоящее из 13 цифр и определяющее количество миллисекунд, прошедших с полуночи 1 января 1970 года UTC. |
Amount | Положительное, целое число, больше ну ля представляющее сумму в тийинах. |
account | Поле “account” представляет собой JSON объект. Набор полей объекта определяется бизнес – логикой конкретного сервиса мерчанта. |
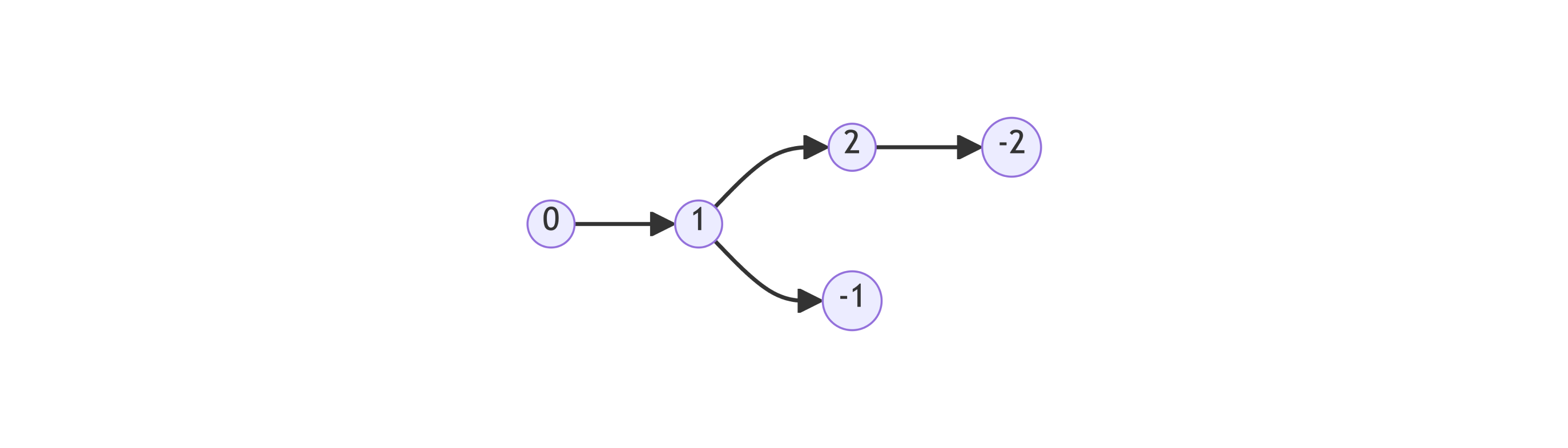
Состояния транзакции (Transaction State)
| Код | Ключ | Описание |
|---|---|---|
| 1 | Created | Транзакция успешно создана, ожидание подтверждения (начальное состояние 0). |
| 2 | Completed | Транзакция успешно завершена (начальное состояние 1). |
| -1 | Cancelled | Транзакция отменена (начальное состояние 1). |
| -2 | CancelledCompleted | Транзакция отменена после завершения (начальное состояние 2). |

Транзакции (Transaction)
| Имя | Тип | Описание |
|---|---|---|
id | String | Идентификатор транзакции |
time | Timestamp | Время создания транзакции |
amount | Long | Сумма платежа в тийинах. |
account | account | Счет покупателя. |
create_time | Timestamp | Время добавления транзакции в биллинге мерчанта. |
perform_time | Timestamp | Время проведения транзакции в биллинге мерчанта. |
cancel_time | Timestamp | Время отмены транзакции в биллинге мерчанта. |
transaction | String | Номер или идентификатор транзакции в биллинге мерчанта. Формат строки определяется мерчантом. |
state | Integer | Состояние транзакции. |
reason | Integer | Необязательное поле, причина отмены транзакции. |
receivers | Receiver[ ] | Список Получателей. Необязательный параметр. В случае если Владелец приложения является Получателем, данное поле следует опустить или присвоить ему значение NULL. |
Причина отмены транзакции (Reason)
| Код | Ключ | Описание |
|---|---|---|
| 1 | ReceiverNotFound | Один или несколько получателей не найдены или неактивны |
| 2 | DebitProcessingException | Ошибка при выполнении дебетовой операции в процессинговом центре. |
| 3 | TransactionProcessingException | Ошибка выполнения транзакции. |
| 4 | TransactionCancelledByTimeout | Транзакция отменена из-за таймаута. |
| 5 | MoneyRefund | Возврат денег. |
| 10 | UnknownException | Неизвестная ошибка. |
Состояния чека(Receipt State)
| Код | Ключ | Описание |
|---|---|---|
| 0 | Created | Чек создан. Ожидание подтверждения оплаты. |
| 4 | Successful | Чек оплачен. |
| 21 | Cancelled | Чек в очереди на отмену. |
| 50 | Failed | Чек отменен. |
Статусы пользователей(Customer Status)
| Код | Ключ | Описание |
|---|---|---|
| 0 | TopUpAvailable | Пополнение возможно/доступно. |
| 1 | TopUpUnavailable | Пополнение невозможно/недоступно. |
| 2 | IncorrectAccountFormat | Неправильный формат аккаунта. |
| 3 | InternalError | Внутренняя ошибка системы. |
| 4 | CustomerNotFound | Пользователь или несколько пользователей не были найдены. |
| 5 | TechnicalWorks | Ведутся профилактические работы. |
| 7 | RestrcitedByMerchant | Ограничено оператором, в следствии чего невозможно выполнить пополнение (Прим. из-за задолженности или специальных условий тарифа). |
| 8 | UknownError | Неизвестная ошибка или проблема требующая дальнейшего изучения . |
Список получателей (Customer)
| Имя | Тип | Описание |
|---|---|---|
id | String | Идентификатор кассы. |
amount | Amount | Сумма платежа в тийинах. |
Дополнительные детали объекта details
| Параметр | Тип | Описание |
|---|---|---|
receipt_type | Integer | Тип фискального чека: Продажа/Возврат = 0, Аванс = 1, Кредит = 2, Информационный = 3 |
items | List | Список товаров и услуг (items) |
Фискальные данные OFDResponseDetails
"ofd": [
{
"id": null,
"code": null,
"message": null,
"terminalId": null,
"receiptId": null,
"time": null,
"fiscalSign": null,
"qrCodeUrl": null,
"tin": null,
"spic": "10401999001000000",
"vatRate": 0,
"label": null,
"packageCode": null,
"type": "",
"merchantInfo": {
"tin": "testBeepul",
"pinfl": "testBeepul"
},
"items": [
{
"title": "string",
"unit_price": 10000,
"count": 2,
"spic": "00702001001000001",
"pinfl": "",
"tin": "",
"package_code": "123456",
"units": 241092,
"vat_percent": 15,
"discount": 10000
}
]
}
]
| Параметр | Тип | Описание |
|---|---|---|
id | String | Идентификатор детали ответа |
code | Byte | Код ответа HTTP |
message | String | Сообщение, связанное с ответом |
terminalId | String | Идентификатор терминала |
receiptId | Long | Идентификатор чека |
time | String | Время генерации ответа |
fiscalSign | String | Фискальный признак, связанный с чеком |
qrCodeURL | String | URL QR-кода, связанного с чеком |
tin | String | ИНН |
spic | String | Код ИКПУ |
vatRate | Decimal | Ставка НДС |
label | String | Метка или дополнительное описание |
packageCode | String | Код упаковки |
type | String |